
ECUACIONES 4º ESO …… ECUACIONES 3º ESO …… ECUACIONES 2º ESO
INECUACIONES I …….. INECUACIONES II
—o0o—
Apúntate al International Youth Math Challenge. Para todas las edades 💪
—o0o—
4°ESO




—o0o—
BACHILLERATO

—o0o—
4º de ESO



—o0o—
Bachillerato
Para el control que haremos…
Una pregunta se parecerá a estas:

Una pregunta se parecerá a estas:

Una pregunta se parecerá a estas:

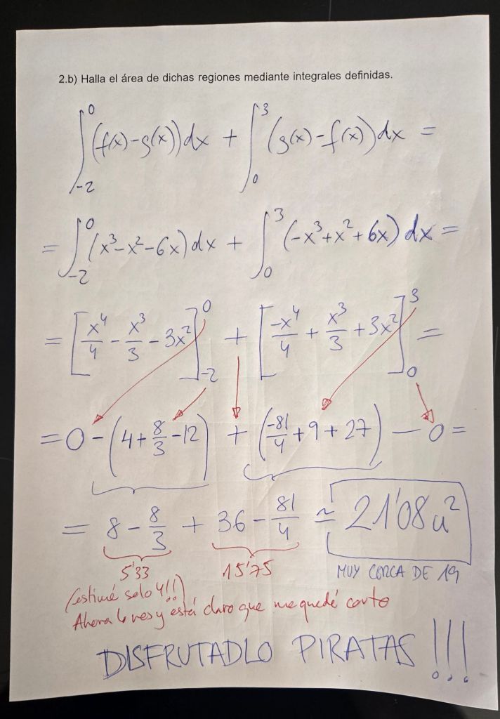
Problemas de optimización resueltos:







—o0o—
Bachillerato




—o0o—
4ESO




—o0o—
FELIZ NUEVO CURSO!!!
Ya he fijado arriba los materiales de repaso imprescindibles para triunfar
—o0o—
FELIZ VERANO A TODOS!!!
—o0o—
La utilidad de LucidChart y de todas las aplicaciones asociadas al concepto de «mapa mental» va mucho más allá de las Matemáticas. Solo pretendo aprovechar la Probabilidad para que empecéis a explorar todas las posibilidades que nos ofrecen este tipo de aplicaciones 😉
—o0o—
10/6. PARA TODOS: Llegamos a Probabilidad. Inicialmente, vamos a realizar todos los mismos ejercicios usando la aplicación Lucidchart. Mira mi diagrama de árbol en este ENLACE

Empieza adaptando este árbol a tus datos y luego…

Más preguntas a resolver:
Si sacamos 3 bolas, ¿qué probabilidad hay de que salgan tres negras? ¿y de que «solo salga una»? (INTENTA RESOLVER AMBAS CUESTIONES CON UN SOLO ÁRBOL)

Si sacamos 50 bolas, ¿qué probabilidad hay de que salga la azul?

Si sacamos 2 bolas, ¿qué probabilidad hay de que salgan diferentes?

Si sacamos 4 bolas, ¿qué probabilidad hay de que salga alguna verde?

—o0o—
Coeficiente de Variación (3°ESO) y gráficos

«VARIANZA: MEDIA DE LOS CUADRADOS MENOS CUADRADO DE LA MEDIA«
En ese enlace tenéis todo lo que quiero sobre las horas de estudio (X) y sobre la nota media (Y) de toda vuestra clase de 30 alumnos
—o0o—
CORRELACIÓN (PARA BACHILLERATO)
Una vez tenemos acabada la hoja de cálculo…
«VARIANZA: MEDIA DE LOS CUADRADOS MENOS CUADRADO DE LA MEDIA«
«COVARIANZA: MEDIA DE LOS PRODUCTOS MENOS PRODUCTOS DE LAS MEDIAS«
… nos llevamos los resultados a Geogebra y rematamos con las rectas de regresión:
https://www.geogebra.org/graphing/wyv8znvx
¿A QUE ES ALUCINANTE?


—o0o—
GENERADOR DE ELIPSES, OSITOS Y CABALLOS x)
LOS CAMPEONES:


Ecuación con deslizadores: (x-a)^(2)+c (y-b)^(2)+d (x-a) (y-b)=f
Corte de parábola (pelos): g(x)=Si(2<x<4, x^(2)-3 x+4)
Medias elipses:
y-b=sqrt(f-c (x-a)^(2))
y-b=-sqrt(f-c (x-a)^(2))
x-a=sqrt(f-c (y-b)^(2))
x-a=-sqrt(f-c (y-b)^(2))

Mi caballito parece una pi… rata X)


https://www.geogebra.org/m/sbmgr7ds
¿Alguien preguntó cómo se hacía la cola del caballo con funciones?

—o0o—
23/5 PARA TODOS, ESTO ES LO QUE QUEDA:

—o0o—
23/5 3°ESO. THE LAST DANCE


—o0o—
23/5 BACHILLERATO. THE LAST DANCE





—o0o—
21/5 BACHILLERATO. Ensayo de tarea de control (podéis usar el libro)




—o0o—
21/5 3°ESO. Ensayo de tarea de control (podéis usar el libro)


—o0o—
21/5 3°ESO. Ensayo de la tarea de control


—o0o—
20/5 BACHILLERATO. ¿No os parece bella la Geometría? ¿O son funciones? 8)



—o0o—
TAREAS



—o0o—
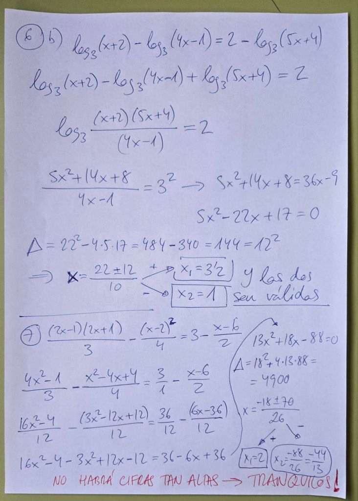
14/5 BACHILLERATO. TAREA DE CONTROL




—o0o—
12/5 BACHILLERATO. TAREA







—o0o—
12/5 3°ESO

—o0o—

—o0o—
El nuevo Papa es un genio de las mates !!!!
—o0o—
8 y 9 de mayo. 3°ESO. TAREA DE CONTROL





—o0o—
6/5 3°ESO. PISTAS




—o0o—
5/5 BACHILLERATO. TAREA DE CONTROL




—o0o—
28/4 BACHILLERATO. Mirad los primeros 14 ejercicios de este enlace, menos el 5, 6, 7 y 11:
PULSA AQUÍ (ENLACE)
—o0o—
24/4 3°ESO . FUNCIONES Y EXAMEN







—o0o—
Tarea de Semana Santa: disfrutad de la vida
—o0o—
11/4 TAREAS DE CONTROL DE 3°ESO HASTA EL FINAL DEL CURSO

—o0o—
11/4 3° ESO. TAREA DE CONTROL


—o0o—
11/4 BACHILLERATO. TAREA DE CONTROL




—o0o—
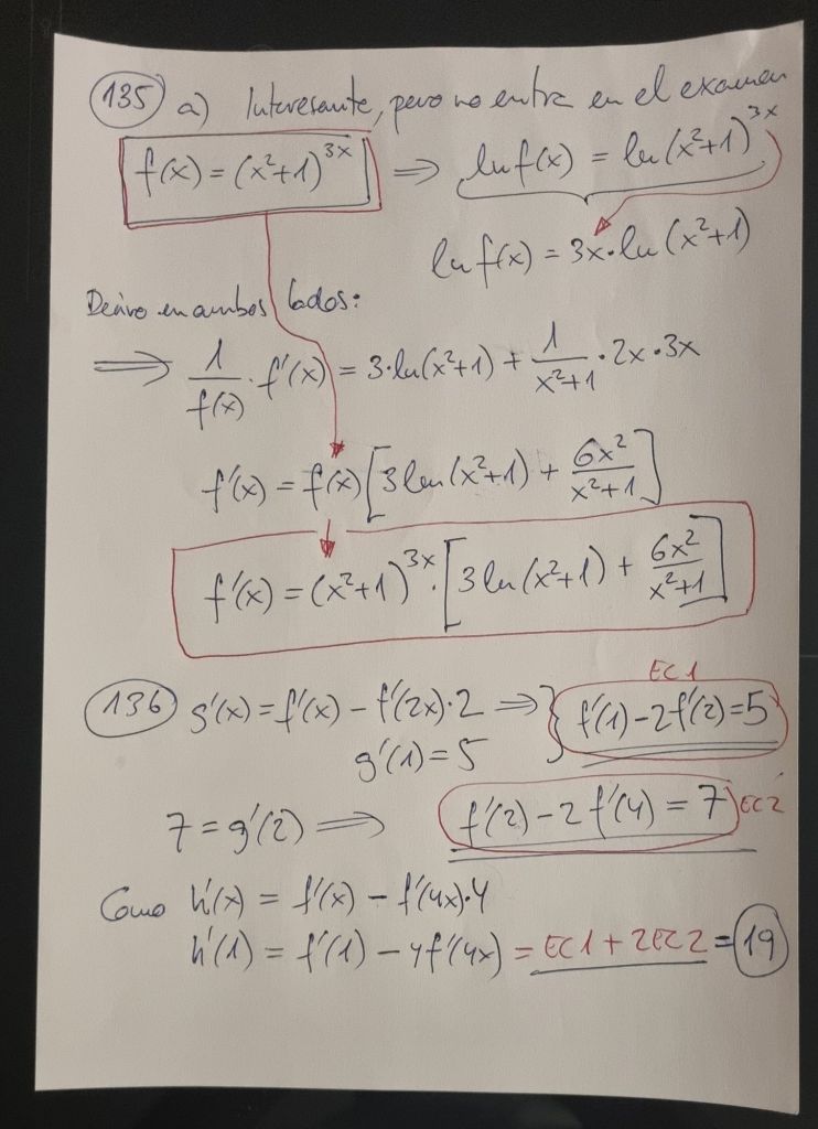
9/4 BACHILLERATO. MÁS DERIVADAS, pero de estos tipos no van a caer en el examen


—o0o—
4/4 BACHILLERATO. RECUPERACIÓN




—o0o—
31/3 3ºESO. VIAJE A BARCELONA
ATENCIÓN!!! La Agencia de Viajes ha decidido que nos permite coger un transporte cada día, después del desayuno para comenzar nuestra ruta, para que nuestro viaje sea más agradable y relajado. De esta forma, podéis colocar el punto de salida de cada día donde queráis, con la condición de que siempre volvamos al barquito andando mientras realizamos nuestras visitas.
Aquí tenemos 10 destinos imprescindibles para nuestro «futuro» viaje de 4 días, pero queremos ver más cosas. Ve pensando alguna visita que quieras añadir a nuestro «viaje»
https://www.viviendodeviaje.com/que-ver-en-barcelona/
Por ahora tenemos:
1. Pasear por las Ramblas.
2. Visitar la basílica de la Sagrada Familia.
3. El Park Güell.
4. Casa Batlló, uno de los lugares imprescindibles que ver en Barcelona.
5. Arco del Triunfo.
6. La Pedrera, la casa Milà.
7. La montaña del Montjuic.
8. El Barrio Gótico y la Catedral de Barcelona.
9. Parque de la Ciudadela.
10. Los Búnkers del Carmel, el mejor atardecer que ver en Barcelona.
Y le hemos añadido…

De muestra de lo que pretendemos conseguir en esta actividad, os dejo un viaje que planifiqué en París, con una herramienta gratuita y superúltil: mymaps
Por la casa no hay que preocuparse: hemos encontrado este barquito muy céntrico para 4 personas por solo 140 euros al día. Está genial! –> Enlace . Pero si no te gusta, tienes hasta el viernes para encontrar una casa para cuatro, céntrica, y que no valga más de 120 euros la noche, pero tendrás que enseñarme el anuncio para darlo por válido. Por lo demás, ya pueden empezar a jugar con este MAPA
No te duermas, que en la agencia necesitamos toda la documentación el lunes 😉
—o0o—
26/3 3°ESO. RECUPERACIÓN DEL 24 DE ABRIL (queda casi un mes)

—o0o—
26/3 BACHILLERATO. TAREA DE CONTROL




—o0o—
21/3 BACHILLERATO. ASÍNTOTAS









—o0o—
21/3 3°ESO TAREA DE CONTROL

—o0o—
π day 3°ESO Tarea de control


—o0o—
π day BACHILLERATO Tarea de control


—o0o—
13/3/25 3°ESO Más problemas resueltos


—o0o—
12/3/25 BACHILLERATO Ejercicios de función recíproca


—o0o—
6/3/25 BACHILLERATO Funciones con valor absoluto






—o0o—
6/3/25 3°ESO Control-tarea resuelto
—o0o—
5/3/25 3°ESO Más sistemas ejemplares que finalizan con Ruffini



—o0o—
26/2/25 3ESO Recuperación de ecuaciones




—o0o—
26/2/25 BACHILLERATO Tarea de dominios


—o0o—
25/2/25 Examen de Geometría de Bachillerato (dos ejercicios realizados en clase, uno de ellos aparece abajo, pero con resultados bastante más sencillos)
—o0o—
25/2/25 Tarea de dominios Bachillerato


—o0o—
18/2/25 3ESO: Para trabajar las ecuaciones os dejo unos solucionarios. Puede que las ecuaciones de las siguientes pruebas salgan de aquí 😉
—o0o—
18/2/25 BACHILLERATO: Para trabajar dominios y funciones con valor absoluto, es necesario que dominemos las ecuaciones e inecuaciones:
—o0o—

14/2/25 3ESO
Perdonad el retraso, pero tenía el examen en casa. Hasta que no he vuelto no he podido subirlo.

14/2/25 BACHILLERATO


12/2/25 BACHILLERATO


7/2/25 BACHILLERATO



